Приводится расшифровка обозначений элементов на схемах автомобилей Nissan. Обозначение и кодировка проводов на принципиальных схемах, разъёмов - с соответствием контактов, обозначения выключателей и соединение проводов электропроводки автомобиля серии Bluebird.
Расшифровка электрических схем Nissan




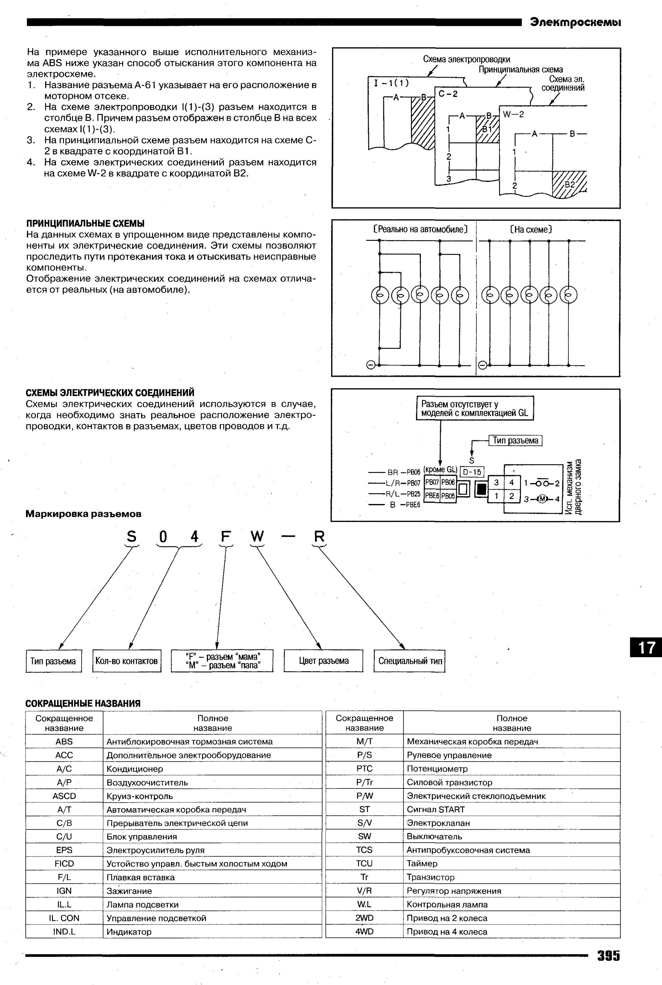
Маркировка разъёмов проводки


Таблица комплектации и обозначений

Электропроводка моторного отсека авто


Электропроводка приборной панели


Электропроводка кузова Nissan Bluebird




РЕМОНТ АВТОЭЛЕКТРОНИКИ ЗАРЯДНЫЕ УСТРОЙСТВА ДЛЯ АКБ

|