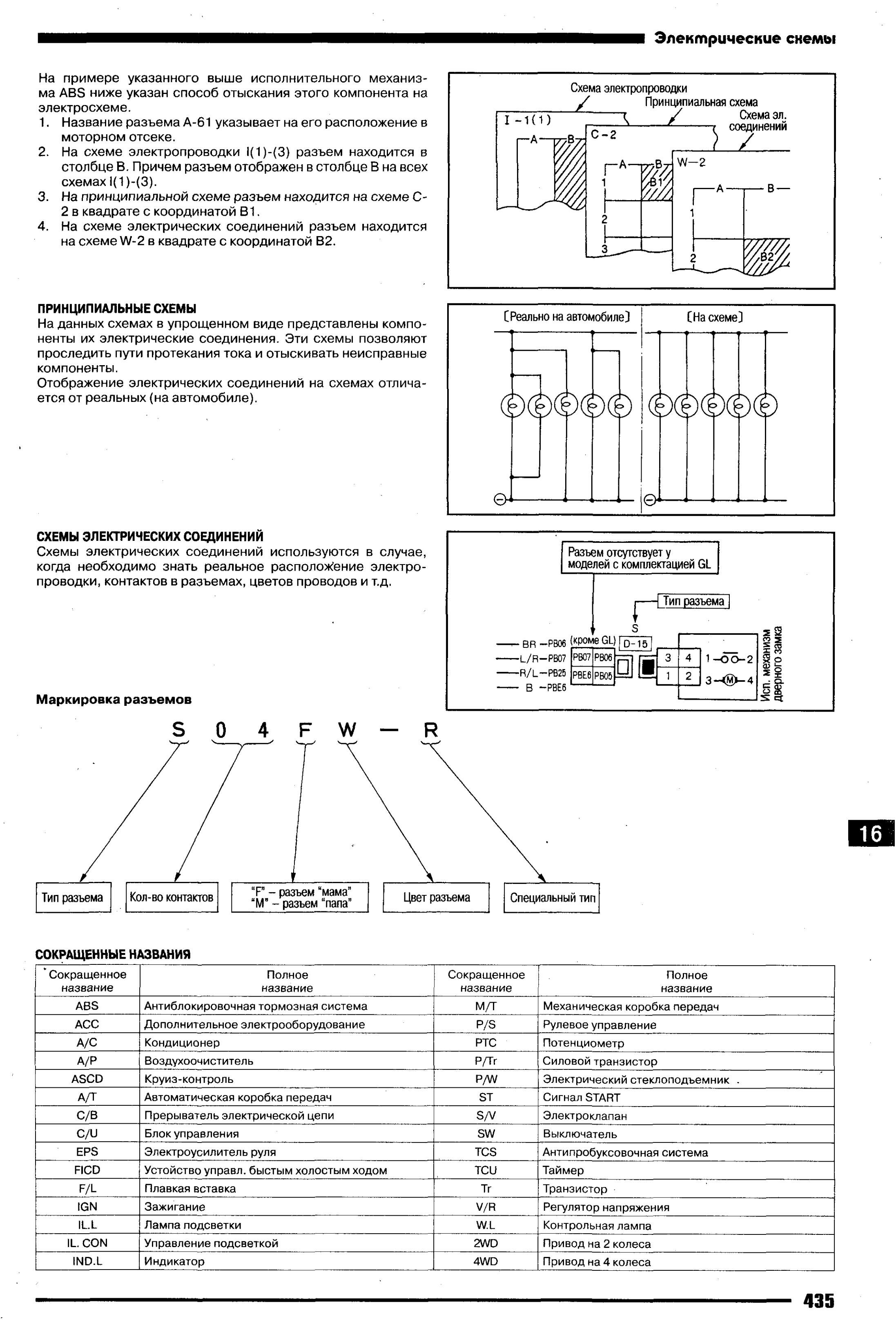
Приводится расшифровка обозначений элементов на схемах автомобилей Nissan. Обозначение и кодировка проводов на принципиальных схемах, разъёмов - с соответствием контактов, обозначения выключателей и соединение проводов электропроводки автомобиля серии Serena.
Расшифровка электросхем Nissan Serena - предохранители, реле, выключатели







Электропроводка моторного отсека автомобиля


Электропроводка моторного отсека автомобиля с двигателем YD250


Электропроводка приборной панели Ниссан


Схема проводки кузова и дверей




РЕМОНТ АВТОЭЛЕКТРОНИКИ ЗАРЯДНЫЕ УСТРОЙСТВА ДЛЯ АКБ

|